Возводим обыкновенные дроби в отрицательные степени💪
СТЕПЕНЬ ПОЛОЖИТЕЛЬНОГО ЧИСЛА С ОТРИЦАТЕЛЬНЫМ ДРОБНЫМ ПОКАЗАТЕЛЕМ
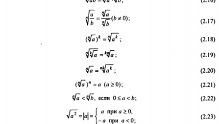
Отрицательный дробный показатель, это рациональный показатель
см. раздел рациональных записей
Как легко и быстро возвести дроби в степень: Советы для школьников и студентов
Возведение дробей в степень — это одна из тех тем, которая может вызвать головную боль у школьников и студентов. Вы чувствуете, что теряетесь в расчетах и не понимаете, как правильно работать с такими задачами? Не переживайте, мы подскажем, как с этим справиться! Давайте разберемся, что такое возведение дробей в степень и какие есть способы ускорить этот процесс. ✔ Наша группа ВК заходите и подписывайтесь: 👉 ВК Учись Легко
✔ Наш Telegram-канал с новостями, подписывайтесь: 👉 Учись Легко Возведение...