Перекись водорода. Увлекательный четверг с Бородатым Химиком.
Загадочный пероксид водорода. 1. Н2О2 - вездесущий двуликий Янус
Вы хотите познавать химию и профессионально, и с удовольствием? Тогда вам сюда! Автор методики системно-аналитического изучения химии Богунова В.Г. раскрывает тайны решения задач, делится секретами мастерства при подготовке к ОГЭ, ЕГЭ, ДВИ, олимпиадам WhatsApp репетитора Богуновой В.Г. +7(903)186-74-55 Сайт репетитора Богуновой В.Г. Репетитор Богунова В.Г. ВК Ничто не красит женщину так, как перекись водорода (Народная мудрость) Мальчики и девочки, папы и мамы, бабушки и дедушки, химички и химичи,...
топ-10 про H₂O₂ ПЕРОКСИД ВОДОРОДА - запоминаем!!
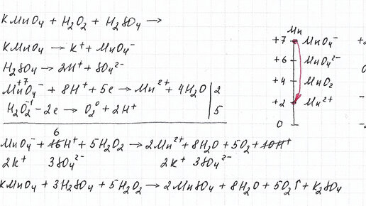
Cегодня рассматриваем ПЕРОКСИД ВОДОРОДА. H₂O₂ – пероксид водорода, перекись водорода ✔️степень окисления кислорода -1, степень окисления водорода +1 ✔️жидкость (*в концентрированном виде светло-голубая) ✔️между молекулами пероксида водорода есть водородные связи ✔️в молекуле есть ковалентные полярные связи и еще ковалентная неполярная связь О-О Н-О-О-Н ✔️ H₂O₂ разлагается на свету или под действием катализатора MnO₂ 2H₂O₂ → 2H₂O + O₂ ✔️ H₂O₂ неэлектролит, поэтому...