• Главная
  • Подписки
  • Найти
  • Новости
  • Статьи
  • Видео
  • Ролики
  • Итоги года
  • Видеоигры
  • Детям
Всё о ДзенеВакансииДзен на iOS и Android
ВсёНовостиТемыКаналыВидео и РоликиСтатьи и Посты
Общество
07:30
1,0×
00:00/07:30
Про математику ПРОСТО
1 год назад
Как умножать степени с одинаковыми основаниями? Свойства степени.
Как ты считаешь?
4 года назад
Как работают степени
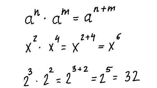
Привет! Давно встречался со степенями чисел? Вот основные свойства, которые помогут при работе с ними: 1) При умножении степени складываются
00:36
1,0×
00:00/00:36
Екатерина Николаевна | РЕПЕТИТОР ПО МАТЕМАТИКЕ 6, 7, 8, 9 классы
784 смотрели · 2 месяца назад
Как быстро умножить в уме двузначные числа с одинаковыми цифрами? #математика #впр #огэ #6класс #7класс #8класс #9класс #математикалегко
Также ищут
как найти миграционный прирост населениячто добавить в бассейн для очистки водыкак правильно завязать георгиевскую ленточку поэтапно фотокак нарисовать закат гуашью поэтапно для начинающихлен как делают ткань
553330357.1970.1766517324668.25801