8 месяцев назад
Сложение и вычитание математических матриц.
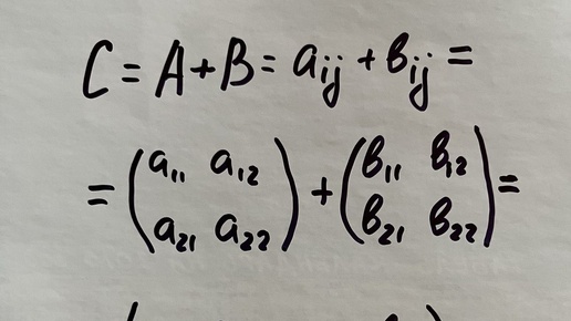
Сразу надо остановиться на важном моменте: складывать и вычитать можно только матрицы одинакового размера, то есть у таких матриц должно быть одинаковое количество строк и одинаковое количество столбцов. Начнём со сложения. Для нахождения суммы двух матриц нужно последовательно сложить элементы матриц, стоящие на одинаковых местах. Рассмотрим на примере для матрицы второго порядка: Для сложения матриц характерно следующее: Перемена мест слагаемых действует и при сложении матриц: А+В=В+А...
1. Матрицы
В самом простом виде, матрица А в виде размера mˣn - это прямоугольная таблица чисел,в котором m строк и n столбцов. А=(аᵢʲ) Элементы, для которых i=j(a₁₁,a₂₂), образуют главную диагональ и называются диагональными. Вырожденная матрица - матрица, определитель которой равна 0. Рассмотрим, что можно делать с матрицами. 1. Сложение и вычитание Первое, о чем нужно помнить, складывать и вычитать можно матрицы только одинаково размера. Результатом будет являться матрица такого же размера. A+B=C. Для того, чтобы сложить матрицы A и B нужно сложить их соответствующие элементы...