9 класс - Алгебра - Решение систем уравнений второй степени методом подстановки
Решение выражений и уравнений со степенной функцией
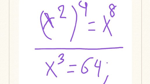
Чтобы возвести в степень переменную в степени надо перемножить показатели. Главное - постоянное решение примеров. И продумывание. Работа над ошибками. Пример 1. 1). (Х^3) ^5 = х^15 Пусть дана переменная икс в кубической степени (то есть три). Надо возвести её в пятую степень. Тогда надо перемножить степени: пять на три и получим пятнадцать. 2). ((Х^5) ^6) ^2 = х^60 Во втором случае постепенно перемножаем степени: пять на шесть - это тридцать. А затем ещё раз умножаем на два, тогда получаем шестьдесят...
Задание 20. ОГЭ. Уравнение 6-ой степени. Как вам?
Прошлый раз посмотрели как решать уравнения 4-ой степени. Сегодня настала очередь уравнения 6-ой степени. Конечно это уравнение, которое под силу решить девятикласснику теми методами, которые были изучены. Вот то самое задание: Заметим, что и из левой и из правой части уравнения можно одновременно взять корень третей степени, т.к. x в 6-ой степени слева равен х в квадрате да еще в 3-ей степени. А минус перед скобкой в правой части это (-1) и это равносильно (-1) в 3-ей степени. В записи это выглядит...