• Главная
  • Подписки
  • Найти
  • Новости
  • Статьи
  • Видео
  • Ролики
  • Видеоигры
  • Детям
Всё о ДзенеВакансииДзен на iOS и Android
ВсёНовостиТемыКаналыВидео и РоликиСтатьи и Посты
02:24
1,0×
00:00/02:24
ИгРоМаНиЯ с ФоМоЙ
18,2 тыс смотрели · 3 года назад
𝐑𝐀𝐒𝐊𝐑𝐀𝐒𝐊𝐀🌈™
Лисёнок_Как решить?
296 читали · 1 год назад
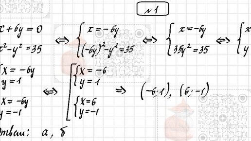
Алгебра 11. Самостоятельная работа 4.1. Методы решения систем уравнений (В-1, повышенный уровень)
Алгебра 11 класс. Самостоятельные и контрольные работы. (Арефьева И.Г., Пирютко О.Н.) Вариант 1.
10:11
1,0×
00:00/10:11
HORROR PIG
182,6 тыс смотрели · 6 лет назад
Салли Кромсали и Балди Разгадали Новый Секрет Злой Бабушки Гренни все серии Страшилки мультики
Также ищут
как распространяется акация в природекак сделать милого дракона ребенку 10 леткак сделать чтобы рендер был быстреепочему антифриз стал прозрачным как водапочему в деревнях рожают много детей
Лисёнок_Как решить?
350 читали · 1 год назад
Алгебра 11. Самостоятельная работа 4.1. Методы решения систем уравнений (В-2, повышенный уровень)
Алгебра 11 класс. Самостоятельные и контрольные работы. (Арефьева И.Г., Пирютко О.Н.) Вариант 2.
2268503620.1781.1761282772736.78194