УРАВНЕНИЯ С МОДУЛЕМ/ Как решать?
Как решать уравнения с модулем: основные правила
Начнём с самого важного: что такое модуль? Напомню, что модуль числа — это просто то же самое число, но взятое без знака. И не важно какой знак перед числом: плюс (+) или минус (-). Да, плюс не ставится, обычно.
Пример: |-5| = 5 и |61,5| = 61.5. Таким образом, отметим для себя, что модули противоположных чисел равны: |−a|=|a|. Ещё один важный факт: модуль никогда не бывает отрицательным. Какое бы число мы ни взяли — хоть положительное, хоть отрицательное — его модуль всегда оказывается положительным (или в крайнем случае нулём)...
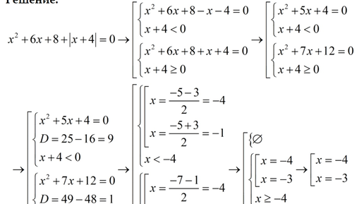
Решаем уравнения с модулем. Больше никаких проблем с любыми уравнениями, содержащими модуль
После этой статьи у вас не будет проблем с уравнениями с модулем, это точно. Статья длинная, но все уравнения разбиты на 4 типа, так что сложно не будет. ДЗ для самоконтроля прилагается!