Уравнение с комплексными числами
Как решать квадратные уравнения с комплексными числами? Узнай секреты успешного решения!
Ты когда-нибудь задумывался, как решать квадратные уравнения с комплексными числами? А ведь это ключевая тема, которая вызывает много вопросов у школьников и студентов. Не переживай, мы разобьем всё по полочкам! ✔ Наша группа ВК заходите и подписывайтесь: 👉 ВК Учись Легко
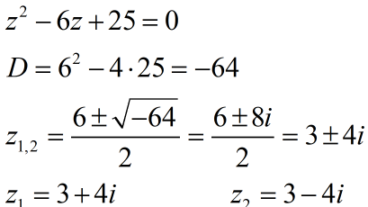
✔ Наш Telegram-канал с новостями, подписывайтесь: 👉 Учись Легко Квадратные уравнения — это уравнения вида ax2+bx+c=0ax2+bx+c=0, где aa, bb и cc — это коэффициенты, а xx — переменная. Эти уравнения часто решаются с помощью дискриминанта...
Как решать иррациональные уравнения?
Эта статья будет полезна как 10-ти и 11-ти классникам, которые готовятся к ЕГЭ по математике, так и 9-ти классникам во время подготовки к ОГЭ по математике. В статье рассмотрим принципы решения следующих иррациональных уравнений методом равносильных преобразований: Иррациональные ур-я вида √f(x) = g(x) Для решения уравнений подобного вида нужно возвести обе части уравнения в квадрат. Одновременно выражение, которому равен корень, должно быть неотрицательным. Рассмотрим пример: Для решения данного уравнения необходимо сначала оставить иррациональное выражение "в одиночестве" от знака равенства...