Решаем пример со степенями
Решаем задач по теме Системы Счисления.Примеры с большими степенями. ЕГЭ Информатика.
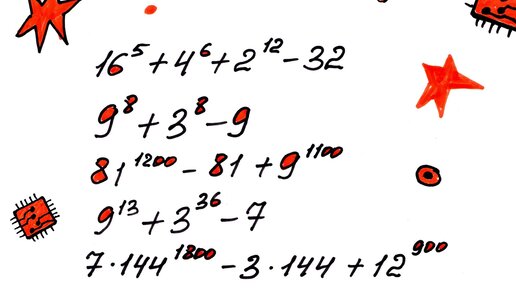
Всем привет! Мы с вами уже разобрали достаточно теории на Системы Счисление. Пришло время порешать задачки. Поработаем с большими степенями, узнаем как быть с коэффициентом перед числом, будет интересно! Каждая следующая задача, будет сложнее предыдущей...
Разбор задания №8 из ОГЭ по математике 2025 года. Часть 2. Свойства степеней.
В задании №8 по математике проверяются умения преобразовывать и вычислять выражения со степенями. Для верного решения задания №8 необходимо знать свойства степеней. 1. При умножении степеней с одинаковыми основаниями основание остаётся без изменений, а показатели степеней складываются. Замечание: В указанном свойстве речь шла только об умножении степеней с одинаковыми основаниями. Оно не относится к их сложению. Будьте внимательны!!! 2. При делении степеней с одинаковыми основаниями основание остаётся без изменений, а из показателя степени делимого вычитают показатель степени делителя...