Труднее не бывает. Логарифмическое неравенство с переменным основанием [ЕГЭ математика профиль]
Логарифмическое неравенство с переменным основанием. В чем заключается "метод рационализации"?
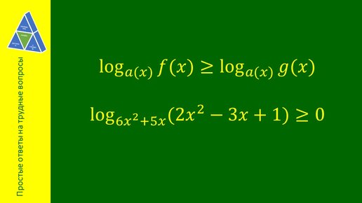
Математика онлайн. Доступно о сложном. Серия "Простые ответы на трудные вопросы" Здравствуйте, уважаемые любители математики! У меня накопилось много вопросов от читателей. На некоторые из них отвечу. Один из вопросов появился после статьи, посвященной логарифмическому неравенству с переменным основанием, и касался "метода рационализации". Разберемся, что это за способ, и посмотрим, как его можно обосновать. Классическое решение Рассмотрим логарифмическое неравенство с переменным основанием и сначала решим его традиционным способом...