№8 Уравнение 4 степени (4x^2-1)^2-(2x^2+x-1)^2=0 Уравнение со скобками 3 способа Разложить на множители Формула сокращенного умн
«Уравнения — это легко!». Решаем 9 задание из ЕГЭ по базовой математике.
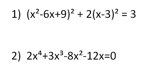
Всем привет! Сегодня я решил рассказать Вам про решение уравнение из ЕГЭ по базовой математике. Мы разберём с Вами в этой статье все возможные виды уравнений на ЕГЭ по математике, и убедимся на примере, что уравнения из ЕГЭ — не проблема, а халявный балл! Автор статьи: Артемий Ульянов Дата выпуска: 07.05.2022 Уравнения со степенями 1-е уравнение. Начать решение наших уравнений я решил с уравнений, в которых приходится работать со степенями. Рассмотрим следующее уравнение, и попробуем его решить...
👆 Напоминалки Шпаргалки по математике
Всем привет! 🖐🖐🖐
Здесь собраны все Напоминалки по математике 😎
Этот список постоянно пополняется! 👏 🔔🔔🔔
Пиши в комментах, какие напоминалки хотел бы видеть именно ты!
🔔🔔🔔 Все новые напоминалки и интересные задания-тесты в Телеграм-канале! Тут ООООООООЧЕНЬ много напоминалок.
Так что чтобы долго не искать - нажми CTRL F, и в...