Как расставлять коэффициенты в уравнениях химических реакций
О решении квадратных уравнений, в которых сумма первого коэффициента и свободного члена равна второму коэффициенту
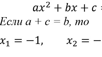
В прошлой статье был рассмотрен случай, когда сумма коэффициентов квадратного уравнения равна нулю. Теперь рассмотрим квадратное уравнение, у которого сумма первого коэффициента и свободного члена равна второму коэффициенту. Если в квадратном уравнении ax^2+bx+c=0 сумма первого коэффициента и свободного члена равна второму коэффициенту a+c=b, то его...
Вы думали лайфхаки все? Неее =) Продолжаем смотреть квадратные уравнения. Метод коэффициентов и понижение коэффициента.
Есть еще куча частных случаев квадратных уравнений, которые решаются за секунды, если вы знаете их специфику. 1. Метод коэффициентов. Если вдруг подбирается такое уравнение, что его коэффициенты либо целиком в сумме равны нулю, либо сумма первого и последнего равна центральному, можно сразу вычислить его корни. Или 2. Метод понижения коэффициента (честно, не знаю правильное название - я сама так назвала). Идея в том, что если коэффициент...