7 класс. Как определить цену деления прибора?
Как рассчитать систематическую (приборную) погрешность прямого измерения
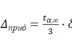
Для любого прибора характерно отклонение показаний от фактического значения измеряемой величины. Данное диапазон характеризуется приборной погрешностью. Не известно точно, чему равна приборная погрешность, и как именно она искажает конкретное измерение. Тем самым по своей сути она близка к случайной погрешности, не смотря на то, что является систематической. Для оценки систематической приборной погрешности также применяют методы математической статистики: Здесь дельта − приборная погрешность, соответствующая...
Абсолютная погрешность: как её рассчитать и почему это важно для точности измерений
Ты когда-нибудь задумывался, почему даже самые точные приборы могут ошибаться? Почему несмотря на все старания, измерения не всегда бывают идеальными? Ответ прост — всегда существует погрешность. А что если я скажу, что она легко рассчитывается? Давай разберемся, как это работает. ✔ Наша группа ВК заходите и подписывайтесь: 👉 ВК Учись Легко
✔ Наш Telegram-канал с новостями, подписывайтесь: 👉 Учись Легко ⋮⋮⋮⋮⋮⋮⋮⋮⋮⋮⋮⋮⋮⋮⋮⋮⋮⋮⋮⋮⋮⋮⋮⋮⋮⋮⋮⋮⋮⋮⋮⋮⋮⋮⋮⋮⋮⋮⋮⋮⋮⋮⋮⋮⋮⋮⋮⋮⋮⋮⋮⋮⋮⋮⋮⋮⋮⋮⋮⋮⋮⋮⋮⋮⋮⋮⋮⋮⋮⋮⋮⋮⋮⋮⋮⋮⋮⋮⋮⋮⋮⋮⋮⋮⋮⋮⋮⋮⋮⋮⋮⋮⋮⋮⋮⋮⋮⋮⋮⋮⋮⋮⋮⋮⋮⋮⋮⋮⋮⋮⋮⋮
🎓...