Предел функции. Неопределенность 0/0 с корнями разных степеней
Как раскрыть неопределенность? Олимпиадная задача
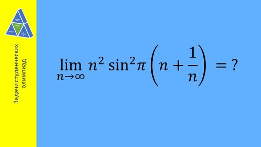
Математика онлайн. Доступно о сложном. Серия «Задачи студенческих олимпиад» Здравствуйте, уважаемые любители математики! Попробуем подставить бесконечность вместо n. Увидим, что первый множитель стремится к плюс бесконечности, а квадрат синуса пробегает все возможные значения от нуля до единицы. Т.е. второй множитель не стремится ни к какому пределу. Из этого следует, что найти предел простой подстановкой невозможно. Преобразуем выражение, стоящее под знаком предела. Это можно сделать двумя способами...
Почему 0 в степени 0 - это неопределённость? Точно ли мы понимаем смысл этой математической операции?
На картинке выше я написал одно из возможных раскрытий такой неопределенности. Здесь используются свойства логарифма и экспоненты, а также правило Бернулли-Лопиталя, которое гласит, что при некоторых условиях предел отношения функций равен пределу отношения их производных...