10 месяцев назад
Решение показательного неравенства логарифмированием
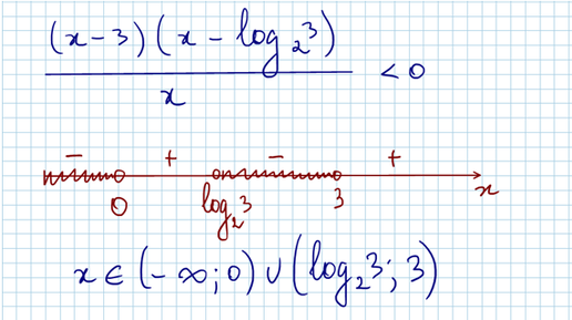
Решить неравенство Источник: вар 270 Решение Прологарифмируем обе части неравенства по основанию 2: Примечание 1) Логарифмирование обеих частей неравенства – это действие, обратное методу решения логарифмических неравенств, когда сравниваются два логарифма и знак неравенства не меняется, если основание логарифма больше 1, например: 2) При логарифмировании обеих частей неравенства знак неравенства не меняется, если основание логарифма больше 1 (логарифмическая функция возрастает); знак неравенства...
29,9 тыс читали · 1 день назад
Ветеран рассказал о катастрофе атомного советского линкора: отомстил "Черный Князь"
70 лет назад произошла одна из самых ужасных и загадочных катастроф в истории советского флота. Ночью 29 октября 1955 года на флагмане Черноморской эскадры линкоре «Новороссийск», который стоял в бухте Севастополя, раздался взрыв. Спасти огромный корабль не удалось, жертвами стали почти 700 моряков. Причина случившегося так до конца и не выяснена. Некоторые подробности трагедии корреспондент «МК» узнал от бывшего офицера-«новороссийца», чудом избежавшего тогда гибели. В конце октября 1955-го капитан-лейтенант...