133 читали · 2 недели назад
Этапы кодирования от алкоголизма: как проходит процесс лечения
Кодировка — действенный способ преодоления алкоголизма. Это ключевой момент, способствующий переходу от пьянства к трезвости. Что в себя включают основные этапы кодирования от алкоголизма, расскажут наши эксперты. Надеемся, информация будет вам полезна. Нельзя сразу взять и закодироваться. Объясняя, как происходит процесс терапии в реальности, врачи всегда делают акцент на подготовительные мероприятия. Они нужны и тем, кто недавно употреблял спиртное, и тем, кто смог в течение нескольких дней сохранять трезвость...
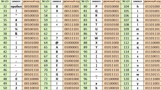
155 читали · 5 лет назад
Python. Статья 12.Юникод. Как происходит кодирование информации. Метод str.encode()
Всем привет! Приступим сразу к делу :) Как известно, компьютеры хранят информацию в виде байтов (1 байт - 8 бит :)). Поэтому необходимо было придумать систему, которая бы позволила сопоставить используемые...