Алгебраическая форма записи комплексного числа
Математика. Комплексные числа. Формы записи.
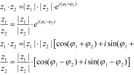
Сегодня пойдёт речь о формах записи комплексных чисел. Эта тема является продолжением или дополнением уже существующей. Поскорее начнём. Никому не секрет что комплексное число можно представить в трёх формах записи: С каждой будем разбираться отдельно, а так же посмотрим как из данной формы представления перейти в другие две. Первым делом ознакомимся с самой известной и незаурядной на сегодня. Встречайте... АЛГЕБРАИЧЕСКАЯ Записывается в виде: Перейдём сразу к следующей...
Действия с комплексными числами в алгебраической форме
Продолжаем разбирать задания с комплексными числам - рассмотрим подробный ход решения и порядок выполнения действий. Выполнить действия с комплексными числами и результат записать в алгебраической форме В данном случае, предложено выполнить операции возведения комплексного числа в степень и сложение комплексных чисел записанных в алгебраической форме. Первое действие - это возведение в квадрат...