Рассматриваем решение самостоятельной работы для 7 класса по алгебре на тему: Разложение на множители с помощью формул квадрата суммы...
№ 803 ( а и б ), 808 ( а ) и 809 ( б ) из учебника по алгебре для 7-го класса (автор Ю. Н. Макарычев)
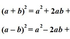
Квадрат суммы и квадрат разности двух выражений Уважаемые мамы и папы, дедушки и бабушки! На примерах решений номеров № 803 ( а и б ), 808 ( а ) и 809 ( б ) из 8-го издания учебника по алгебре для 7-го класса авторов Ю. Н. Макарычева, Н. Г. Миндюк, К. И. Нешкова и С. Б. Суворова под редакцией С. А Теляковского предлагаю вспомнить возведение в квадрат суммы и разности двух выражений. № 803 ( а и б ): Преобразуйте выражение в многочлен: В главе V §12 п. 32 учебника на странице 164 даются два тождества...
Как освоить выделение полного квадрата за 5 минут и реально запомнить навсегда
Знакомо: сидишь над задачей по алгебре, смотришь на двучлен и думаешь: «Как из этого что-то сделать?» А потом вдруг — о, чудо! — решение словно появляется само. Звучит как магия, но на самом деле всё дело в простом методе, который реально ускоряет обучение и делает математику понятной. Давайте разберёмся, как выделение полного квадрата может стать вашим суперприёмом. ✔ Наша группа ВК заходите и подписывайтесь: 👉 ВК Учись Легко
✔ Наш Telegram-канал с новостями, подписывайтесь: 👉 Учись Легко Выделение полного квадрата двучлена — это не просто школьная формальность...