331 читали · 5 лет назад
Бинарное дерево на Go для новичка
В этой статье мы сосредоточимся на том, как деревья бинарного поиска могут быть реализованы на Go и почему они предпочтительнее линейных структур данных, таких как массивы и связанные списки.
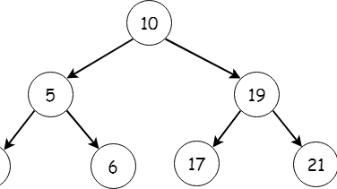
Бинарное дерево поиска. Обход Дерева.
Обход дерева - это вид обхода графа, который обуславливает процесс посещения (проверки и/или обновления) каждого узла структуры дерева данных ровно один раз. Такие обходы классифицируются по порядку, в котором узлы посещаются. Алгоритмы в статье относятся к двоичным деревьям, но могут быть обобщены и для других деревьев. Дерево – это структура данных, представляющая собой древовидную структуру в виде набора связанных узлов. Бинарное дерево – это конечное множество элементов, которое либо пусто,...