Учим Цифры и Цвета с разноцветными яйцами | Учимся считать от 1 до 20
Числовые последовательности в ОГЭ. Задание 14.
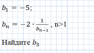
Конечно, задания под номером 12 из первой тестовой части ОГЭ довольно просты. Но если применить неправильный подход к решению, то можно потерять очень много драгоценного времени на экзамене. Последовательность – это набор элементов множества, который удовлетворяет следующим условиям: Более простым языком, это когда число в числовом ряду занимает определенное место. А у этого места есть свой номер. Например есть числовая последовательность 2, 5, 8, 11... Не сложно догадаться, что следующее число 14 , так как здесь явно прослеживается закон: следующее число на 3 больше предшествующего...
Поиск повторяющихся числовых последовательностей с помощью numpy
В этот раз в серии статей по numpy-программированию мы будем решать практическую задачу. Предыдущие статьи нашего сериала: В этой статье мы займемся выявлением паттернов, в нашем случае это будет поиск повторяющихся числовых последовательностей. Сложность заключается в том, что числовые значения могут не совпадать, но быть близкими. Насколько близкими они должны быть? Для объяснения решения этой задачи, мы возьмем последовательность из двух чисел. На самом деле, два числа это слишком мало, так как повторение двухчисловой последовательности может быть случайностью, но нам нужно понять суть...