Как говорит мой муж, Вкуснее супа просто нет! Щи, от которых мой муж в восторге
Расчет дисперсии в Excel
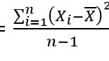
Дисперсией в статистике называют величину, отражающую меру разброса данных вокруг среднего арифметического значения выборки данных.
Если дисперсию выборочной совокупности уменьшить в 4 раза то ошибка выборки
Если дисперсию выборочной совокупности уменьшить в 4 раза, то ошибка выборки (стандартная ошибка среднего) уменьшится в 2 раза. Вот почему: Формула стандартной ошибки среднего (ошибка выборки): SE = σ / √n Где: Дисперсия и стандартное отклонение: Дисперсия (σ²) является квадратом стандартного отклонения (σ). Следовательно, стандартное отклонение является квадратным корнем из дисперсии: σ = √σ² Изменение дисперсии: Если дисперсию уменьшить в 4 раза, то новая дисперсия будет равна σ²/4. Новое стандартное отклонение: Новое стандартное отклонение будет равно квадратному корню из новой дисперсии: σ' = √(σ²/4) = σ / 2 То есть, стандартное отклонение уменьшится в 2 раза...