Просветление - НЕТ! Пробуждение - НЕТ! Как понять, что нас не существует? | Иван Ананда
Практика. Математика. Пределы (lim). Второй замечательный предел.
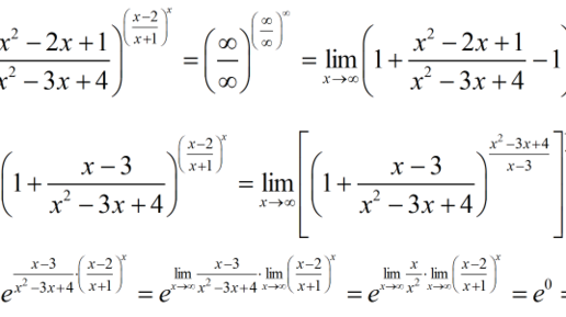
Продолжаем цикл наших занятий по пределам. Сегодня у нас пойдёт речь о втором замечательном пределе. С первым они отличаются значительно, можно сказать что совсем ничего общего не имеют, кроме того что оба "замечательные". В плане решения он чуточку сложнее, это нас не должно останавливать, ведь знать и применять его действительно необходимо студентам имеющим дело с матаном. В общем нас сегодня ждёт интересный материал. Приступим... Запишем, как выглядит второй замечательный предел математически...
Предел и неописуемость
Предел и неописуемость Что делать, когда ничего не понятно? Когда никто не знает, что делать, но делать что-то надо? Интереснейшая задача! Феноменология такова. Когда ничего не понятно, как правило, это тоже непонятно. Нельзя указать на непонятное, когда оно непонято. Поэтому люди начинают совершать странные, не соотносящиеся с ситуацией вещи. Например, впадают в маниакальную или депрессивную фазу: ничего не делают, потому что непонятно, или делают по максимуму, чтобы забыть, что непонятно. Обезьяны помните, что с собой заняты, когда не могут направить силы по назначению. Люди тоже, как правило,...