Как это решить? Корень и степень одновременно
❗️ФОРМУЛА ПЕРЕВОДА ИЗ КОРНЯ В СТЕПЕНЬ И ОБРАТНО
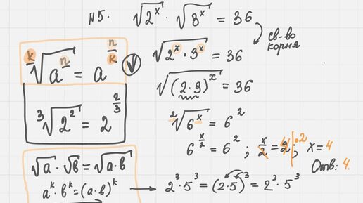
❗️ФОРМУЛА ПЕРЕВОДА ИЗ КОРНЯ В СТЕПЕНЬ И ОБРАТНО ❗️ Если видишь в задаче корни и степени вперемешку — не паникуй. Всё сводится к одной простой формуле: 1️⃣ Главное правило: корень n-й степени из a = a^(1/n) То есть: √a = a^(1/2) ∛a = a^(1/3) ⁴√a = a^(1/4) 2️⃣ Если под корнем есть степень: ⁿ√(a^m) = a^(m/n) Примеры: √(x³) = x^(3/2) ∛(a²) = a^(2/3) ⁴√(b⁵) = b^(5/4) 3️⃣ Обратный переход: a^(m/n) = ⁿ√(a^m) Так можно легко «вернуть» корень, если в выражении дробная степень. 4️⃣ Важно для ЕГЭ: –...
Чо такое корень n-й степени?
Корень n-й степени — это математическая операция, которая является обратной возведению в степень. Давайте разберем это понятие пошагово. Возведение в степень . Прежде чем говорить о корнях, важно понять, что такое возведение в степень. Если у нас есть число а и мы возводим его в степень n, это означает, что мы умножаем число а само на себя n раз. Например, а^n =а*а*... *а (n раз). Пример: 2^3 =2*2*2=8 Введение корня n-й степени. Корень п-й степени из числа — это такое число, которое при возведении в степень n дает исходное число...