Метод НАОБОРОТ. Умножаю количество корней у этих орхидей. Дальше очень быстро развиваются. Отрезать НЕ БУДУ. Пересадка.
Порешаем ОГЭ? Числа и вычисления. Квадратные корни
Всем привет! Сегодня разбираем решение некоторых примеров, содержащих квадратные корни.
Это номер 8 первой части ОГЭ.
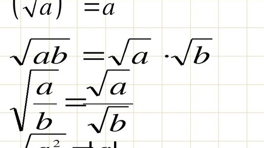
Но сначала вспомним некоторые свойства квадратных корней.
Обычно, чтобы упростить и решить примеры с корнями, стоит попытаться разложить числа на множители...