Как правильно раскрывать скобки со степенями.Ошибки.
Возведение скобки (а±b) в любую степень
Привет.
Сегодня разберём возведение в любую целую степень скобок (а±b).
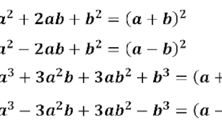
Все мы знаем формулы сокращённого умножения, такие как квадрат суммы и разности, а также кубы: Однако, как быстро возвести в степень, допустим, 5, такую же скобку. Перемножать скобку саму на себя 5 раз - это долго, да и запутаться можно. Однако, для этого есть быстрый и лёгкий способ. Рассмотрим скобку (а+b) в нашей 5 степени: Давайте для начала вернёмся к нам известным формулам квадратов и кубов и увидим закономерность:...
Как раскрывать скобки с простыми выражениями? Умножение одночлена на многочлен. Повторяем математику за 7 класс
🔹 Подборка Повторяем математику 7 класс здесь 🤩 Поддержи меня лайком, комментарием или подпиской! 😇 Прежде чем решать примеры, вспомним основные правила. ❓❓❓ Если возникают вопросы - пишите в комментариях - я всегда отвечаю 🤗🤗🤗 Сегодня рассматриваем примеры, когда перемножаются одночлен и многочлен.
Из-за того, что многочлен состоит из нескольких слагаемых, его заключают в скобки. Поэтому получается, что при раскрытии скобок на самом деле мы перемножаем одночлен и многочлен. Ну или многочлен на многочлен, но это рассмотрим в следующий раз...