06:44
1,0×
00:00/06:44
681,5 тыс смотрели · 4 года назад
Секретная шпаргалка по химии. 3.1 Массовая доля элемента в соединении
Вы хотите познавать химию и профессионально, и с удовольствием? Тогда вам сюда! Автор методики системно-аналитического изучения химии Богунова В.Г. раскрывает тайны решения задач, делится секретами мастерства при подготовке к ОГЭ, ЕГЭ, ДВИ, олимпиадам WhatsApp репетитора Богуновой В.Г. +7(903)186-74-55 Сайт репетитора Богуновой В.Г. Репетитор Богунова В.Г. ВК Полный каталог статей - на авторском сайте в разделе "Статьи репетитора Богуновой В.Г." Репетитор Богунова В.Г. приглашает на легендарные онлайн-курсы...
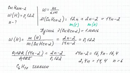
Определение процентного содержания элементов в молекуле.
Я уже рассказал в одной из статей, как составить молекулярную формулу, имея массовые доли элементов в молекуле. А теперь давайте решим более простую задачу: как определить массовую долю элементов в молекуле, зная ее формулу. Начнем с простого примера - молекулы воды. Вы знаете ее формулу: Посчитаем относительную молекулярную массу, которая равна сумме атомных масс элементов, входящих в молекулу. Напоминаю, что атомные массы элементов берем из таблицы Менделеева, округляя их до целых значений. (1 х 2) + (16 х 1) = 18...