Анализируем линейную функцию y = kx + b! Учимся определять график
№ 482 из учебника по алгебре для 7-го класса (автор Ю. Н. Макарычев)
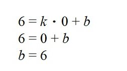
Линейная функция В главе II §6 п.16 учебника на странице 75 даётся определение линейной функции: линейной функцией называется функция, которую можно задать формулой вида y = kx + b, где x– независимая переменная, k и b – некоторые числа. График функции y = kx + b, где k ≠ 0, есть прямая, параллельная прямой y = kx Условие задачи: Прямая, являющаяся графиком функции, заданной формулой y = kx + b, пересекает оси координат в точках A (0; 6) и B (– 4; 0)...
8. Исследование функции одной переменной. Монотонность, экстремум, выпуклость, точки перегиба, асимптоты.
Схема как исследовать функцию и построить график Пример Монотонность Функция называется монотонной на промежутке, если она на этом промежутке или возрастает, или убывает. Функция называется возрастающей в промежутке (a; b), если большему значению аргумента соответствует большее значение функции, то есть для любой пары x_1, x_2 принадлежащей промежутку (a, b) таких, что x_1 > x_2 справедливо неравенство f(x_1) > f(x_2). Функция называется убывающей в промежутке (a; b), если большему значению...