Формула тонкой линзы (найти расстояние между предметом и его изображением)
ЕГЭ по физике. Задача 32 (12). Увеличение линзы
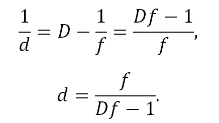
Полное условие задачи Объектив проекционного аппарата имеет оптическую силу 5,4 дптр. Экран расположен на расстоянии 4 м от объектива. Определите размеры экрана, на котором должно уместиться изображение диапозитива размером 6 см × 9 см. Краткое условие задачи Решение задачи Запишем формулу тонкой линзы: Выразим расстояние от диапозитива до линзы:...
🚀 Задача №163: «Волшебство линзы: как построить изображение и рассчитать его положение с помощью формулы тонкой линзы?
От лучей до формулы — полный гид для чайников и гениев!» Друзья, сегодня у нас — одна из самых визуальных и красивых тем в физике: геометрическая оптика, а именно — построение изображения в тонкой линзе и применение формулы тонкой линзы. Это не просто «подставь в формулу» — это целое визуальное приключение, где световые лучи подчиняются строгим правилам, а изображения могут быть увеличенными, уменьшенными, перевёрнутыми, мнимыми — и всё это можно предсказать заранее! Мы разберём два ключевых аспекта:...