ОГЭ Как найти площадь ромба через синус угла
Как легко доказываются формулы площади треугольника? ЕГЭ, ОГЭ.
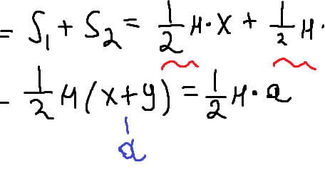
Всем привет, сегодня я покажу как выводятся 4-основные формулы для нахождения площади треугольника, для понимания следующего материала нужно знать теорему синусов, площадь прямоугольника.
Для начала поймем один частный случай(если это понимаете, пролистывайте дальше)...
Как найти площадь ромба через сторону и угол: простой способ для школьников и студентов
Вы когда-нибудь сталкивались с задачей, которая кажется сложной, но на деле решается за пару секунд? Например, найти площадь ромба через сторону и угол. Многие школьники и студенты сразу думают: "Ой, это слишком сложно!", но на самом деле есть простой способ, который запоминается на всю жизнь. ✔ Наша группа ВК заходите и подписывайтесь: 👉 ВК Учись Легко
✔ Наш Telegram-канал с новостями, подписывайтесь: 👉 Учись Легко Ромб — это не просто фигура из геометрии. Он встречается в инженерии, архитектуре, дизайне и даже в повседневных задачах...