Кубический корень и кубические уравнения | Урок 4
Решение кубических уравнений #2
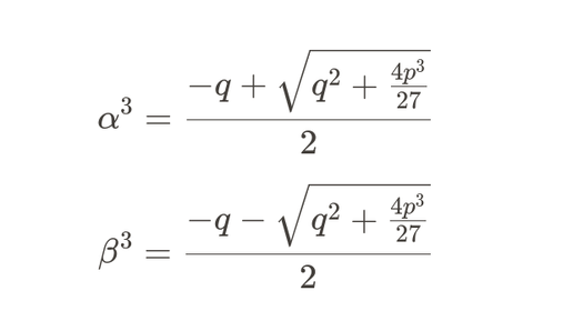
В посте про решение уравнений 3-й степени мы полностью вывели формулу нахождения корней. Как известно, в уравнениях любой степени количество корней равно максимальной степени уравнения. В квадратном уравнении степень многочлена равна 2, следовательно, у уравнения до двух корней; в кубическом уравнении — 3 корня. Но как их найти? В том же посте про кубические уравнения мы ввели две новые переменные: α, β. В прошлый раз для того, чтобы найти, чему равны α и β, мы брали арифметический корень. Также...
«Боль, слёзы, отчаяние». Решение кубических уравнений без насилия и матов.
Всем привет! Наверняка, в вашей жизни уже наступал переломный момент, когда Вам приходилось решать кубические уравнения по алгебре, и скорее всего, «без слёз» не обошлось. Сегодня я научу вас решать кубические уравнения максимально лёгким и понятным способом. Погнали! Автор статьи: Артемий Ульянов. Дата выхода: 28.04.2022. Алгоритм решения кубических уравнений Самое главное в этой нелёгкой темы из раздела алгебры — это составить свой собственный алгоритм решения таких уравнений. В основном, математики...