Ток индуктора I(t) от времени и L. Решение уравнения. Оптимальная индуктивность L индуктора теслы
Индуктивность
Индуктивность Выше мы рассматривали два основных понятия в электротехнике — идеальный генератор напряжения и идеальный генератор тока. Идеальный генератор напряжения выдает заданное напряжения U (давление в водопроводной аналогии) на любой нагрузке (сопротивлении внешней цепи). При этом в соответствии с законом Ома I=U/R, даже если R стремится к нулю, а ток возрастает до бесконечности. Внутренне сопротивление идеального генератора напряжения равно 0.
Идеальный генератор тока выдает заданный ток I (поток в водопроводной аналогии), даже если сопротивление внешней цепи стремится к бесконечности...
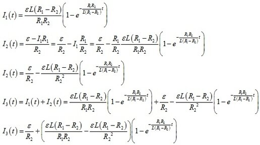
Задача: Найти зависимость тока от времени на индуктивности L после замыкания ключа. Построить график
В этой статье я постараюсь подробно расписать как решать задания по электродинамике на переходные процессы на примере данной задачи. Для решения нам понадобятся законы Кирхгофа. Иногда законы Кирхгофа называют правилами Кирхгофа, особенно в старой литературе. Первый закон Кирхгофа Формулировка №1: Сумма всех токов, втекающих в узел, равна сумме всех токов, вытекающих из узла.
Формулировка №2: Алгебраическая сумма всех токов в узле равна нулю.
Знаки для втекающих и вытекающих токов можно брать произвольно, однако в основном всегда втекающие токи берут со знаком «+», а вытекающие со знаком «-» ...
Катушка индуктивности: доступно о сложном
В радиоэлектронике частенько встречается такая штука, как катушка индуктивности. Ещё её называют индуктивным элементом. Эта деталь довольно важна и понимание принципа её функционирования важно для каждого грамотного человека, поэтому, давайте вместе разбираться для чего она нужна и как работает. Что такое индуктивность "на пальцах" Прежде, чем вникать в принцип работы катушки индуктивности, давайте вспомним, что вообще такое индуктивность в курсе физики и для чего она нужна или из-за чего появляется...