181 читали · 6 лет назад
Практика. Математический анализ (Матан). Интегрирование подведением под знак дифференциала. Часть 2.
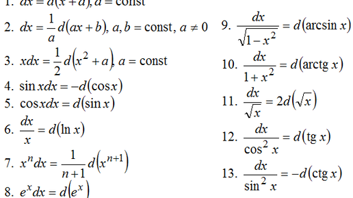
На прошлой практике мы уже рассмотрели как решать простейшие интегралы методом подведения под знак дифференциала. Если вы ещё не знакомы с этой темой, лучше сделайте это прямо сейчас. Ну а пока "неопытные" разбираются с основами, мы начнём разбирать более "навороченные" примерчики. Сейчас наверно подумали о табличке... Постарайтесь её запомнить хотя бы визуально, таким образом в дальнейшем вы сможете на автомате "прикидывать" алгоритм решения того или иного интеграла. Первый гость в нашей "студии" заслуживает статус "ветерана" в интегральном исчислении...
25,3 тыс читали · 7 лет назад
Просто о сложном: что такое дифференциал и зачем он нужен
"Дифференциал повышенного трения", или "дифференциал порвало"... Наверняка слышали или хоть раз читали подобные фразы. Но что же за загадочный зверь такой - дифференциал, и зачем его рвать? Предлагаю разобрать данный вопрос подробно. И поэтому, сначала чуть-чуть теории. Для самого очевидного примера возьмите самую обычную модельку машины за 300 рублей. Только здесь важно, чтобы она была совсем простой - то есть, имела два колеса, жестко насаженные на одну ось. Ставим ее на стол и катим вперед...