Как расставить пределы интегрирования в двойном интеграле
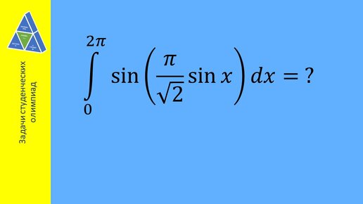
Задачи студенческих олимпиад. Суперпозиция синусов под знаком интеграла
Математика онлайн. Доступно о сложном. Серия «Задачи студенческих олимпиад» Здравствуйте, уважаемые любители математики! Может показаться, что интеграл - неберущийся и без квадратурных формул не обойтись. Однако можно достаточно быстро найти его значение, используя свойства определенных интегралов. Нечетность подынтегральной функции Прежде всего заметим, что подынтегральная функция – нечетная. В самом деле, область определения – вся числовая прямая и Симметрия отрезка интегрирования Если бы отрезок интегрирования был симметричен относительно начала координат, то интеграл был бы равен нулю...
Оптическая иллюзия или математическая шутка?
Оптическая иллюзия или математическая шутка? Вам кажется, что вы смотрите на одно уравнение, а на самом деле — на совершенно другое. Все дело в одной маленькой детали — верхнем пределе интегрирования. Если бы там была переменная t, это был бы знаменитый детектив по имени Абель. Но раз там стоит единичка, то перед нами самый что ни на есть философствующий Фредгольм второго рода. Давайте познакомимся с ними поближе, без занудных формул. Для начала представьте себе уравнение Фредгольма второго рода как задушевный разговор с самим собой перед зеркалом...