№ 436 из учебника по алгебре для 8-го класса (автор Ю. Н. Макарычев)
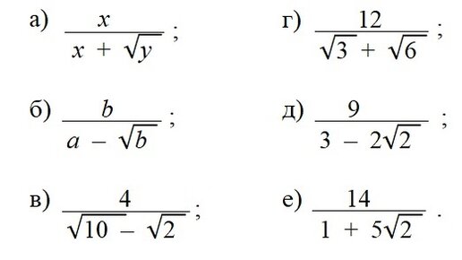
Рациональные и иррациональные числа. Основное свойство дроби. Произведение разности двух выражений и их суммы. Сокращение дробей. Освобождение от иррациональности в знаменателе дроби Освободитесь от иррациональности в знаменателе дроби: Решение: Освободиться от иррациональности в знаменателе дроби – это значит произвести с дробью такие действия, чтобы в её знаменателе были только рациональные числа. При решении заданий № 432 мы пользовались основным свойством дроби, умножая числитель и знаменатель на квадратный корень из одного и того же числа...
2 месяца назад
Иррациональные уравнения с дробями: простой способ, который понимают даже школьники
Ты когда-нибудь сидел над задачей по алгебре, где «иррациональные уравнения с дробями» выглядели как магия из параллельного мира? Кажется, что решить такое невозможно без репетитора. Но есть один способ, о котором редко говорят в школе — и он реально работает. ✔ Наша группа ВК заходите и подписывайтесь: 👉 ВК Учись Легко ✔ Наш Telegram-канал с новостями, подписывайтесь: 👉 Учись Легко Ученики часто боятся даже слышать эти слова. Кажется, что это что-то слишком сложное: корни, дроби, знаки — всё вперемешку...