4 года назад
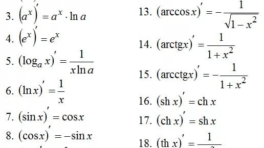
Правила нахождения производных
Дифференцирование - это процесс нахождения производноц. Функция дифференцируема, если она имеет производную в данной точке. Для нахождения производноц, согласно определению, нужно составить отношение приращения функции и аргумента, а затем вычислить предел при стремящемся к нулю приращении аргумента...
795 читали · 4 года назад
Как кусочно-гладкую функцию превратить в непрерывно дифференцируемую?
Математика онлайн. Доступно о сложном. Серия «Задачи студенческих олимпиад» Здравствуйте, уважаемые любители математики! Для начала разберемся, что же нужно сделать. Термин «непрерывная функция», наверняка, знаком всем. В задаче же говорится о непрерывно дифференцируемой функции. Этот термин означает, что непрерывной будет не только сама функция, но и ее производная. Непрерывно дифференцируемую функцию также называют гладкой. Связано это с тем, что функция, задающая гладкую кривую (т.е. кривую без угловых точек) имеет непрерывную производную...