Деление чисел с одинаковыми основаниями и разными степенями😎
Разбор задания №8 из ОГЭ по математике 2025 года. Часть 2. Свойства степеней.
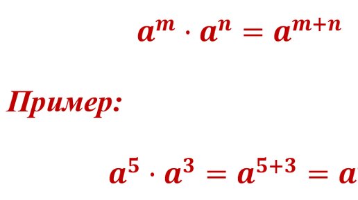
В задании №8 по математике проверяются умения преобразовывать и вычислять выражения со степенями. Для верного решения задания №8 необходимо знать свойства степеней. 1. При умножении степеней с одинаковыми основаниями основание остаётся без изменений, а показатели степеней складываются. Замечание: В указанном свойстве речь шла только об умножении степеней с одинаковыми основаниями. Оно не относится к их сложению. Будьте внимательны!!! 2. При делении степеней с одинаковыми основаниями основание остаётся без изменений, а из показателя степени делимого вычитают показатель степени делителя...
Готовимся к ОГЭ: свойства степеней. Как в них разобраться?
Всем привет! Через 5 месяцев будет ОГЭ по математике, и нужно уже активно готовиться к экзамену. Сегодня на повестке дня-это свойства степеней, которые могут встретиться выпускникам в 6, 8, 20 задание, суммарно это 4 балла. Хоть кажется, что эта тема простая, но на практике есть некоторые затруднения в ней. Давайте разбираться! Что такое степень? Степень-это умножение числа само на себя. Приведем пример: 5^2=5*5=25 То есть у нас некоторая 5, которая умножается само на себя два раза, 5*5=25. Поэтому...