Как брать производную Правила дифференцирования функций. Производная степенной функции 26.04
Практика. Математика. Градиент функции.
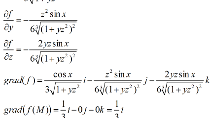
Приветствую всех. Сегодня на занятии хотелось бы затронуть немало важную тему, связанную одновременно с дифференциальным исчислением и векторной алгеброй. Мы постараемся как можно меньше углубляться в теоретические тезисы и побольше сделаем упор на решение практических задач. Незамедлительно начнём. Определение слова "градиент" в математике нужно усвоить. Градиент - это вектор показывающий направление наибольшего возрастания функции. Модуль вектора градиента показывает скорость изменения функции...