6 лет назад
Экономическая задача из профильного ЕГЭ по математике. Показываю как просто и быстро решить
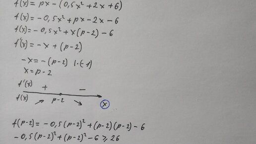
Здравствуйте, дорогие читатели :) Сегодня я решил показать вам один из типов экономических задач на ЕГЭ. Это задачи на оптимизацию. Многие их боятся, хотя ничего сложного там нет, напротив, если правильно решать вы не потратите на нее больше 10 минут. Да, это даже быстрее чем 15ое неравенство :) Итак, поехали Первое, что мы делаем - считаем сколько млн. рублей в год нужно, чтобы окупиться. Просто делим 78 на 3. А затем, самое главное в этой задаче - составление функции. Вам нужно понять, что нам в год нужно получать не менее 26 млн рублей, чтобы завод точно окупился...
108 читали · 3 года назад
Экономические задачи. Учимся решать задание 21 из ЕГЭ по обществозанию
Здравствуйте, дорогие читатели! Решать экономические задачки не так сложно, как кажется. Достаточно ознакомиться с законами спроса и предложения и подключить житейскую логику. На графике мы отмечаем ось P - это цена товара, и ось Q - его количество. Ещё в этой задаче присутствуют две линии: спрос (D) и предложение (S). Предложение - всегда диагональ, ведущая вверх, ведь чем выше цена - тем выше предложение. Со спросом наоборот - эта линия всегда стремится вниз. Место пересечения линий - это равновесная цена...