Кто такой дед инсайд? Что это значит в молодёжном сленге?
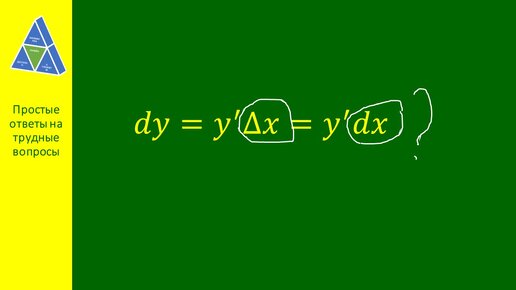
Как связаны Δx и dx?
Математика онлайн. Доступно о сложном Добрый день! Если Вы изучали или изучаете высшую математику, то, возможно, вспомните, как в расчетах dx заменяли на Δx и, наоборот, Δx - на dx. Давайте разберемся, в чем причина. Если x - независимая переменная, то ее дифференциал dx принято отождествлять с приращением Δx. Т.е. формулу дифференциала dy функции y(x) можно записать как через dx, так и через Δx: Кстати, определение дифференциала независимой переменной хорошо согласуется с определением дифференциала функции...
Wer-dy.site (Werdy.net) — что это за платформа и можно ли доверять
⚠ Важно: сайт Wer-dy.site, связанный с Werdy.net, может использоваться как торговый терминал или личный кабинет инвестиционной платформы. Пользователям часто обещают быстрый доход и «профессиональное сопровождение». Перед вложением средств важно разобраться, как работает подобный сервис. Если вы ищете: — ниже краткий и понятный разбор. Платформа Werdy.net может представляться как брокер с доступом к различным рынкам: ✔ криптовалюты
✔ Forex
✔ акции и индексы
✔ CFD-контракты
✔ «готовые торговые стратегии» Также пользователю часто назначают «личного аналитика»...