Что такое ОДЗ? (часть 1)
В этой статье я подробно расскажу о том, что такое область допустимых значений (ОДЗ) выражения, опишу, как ее искать, приведу несколько примеров с поиском ОДЗ выражений, содержащих дроби, корни четных степеней и логарифмы...
253 читали · 3 года назад
Область Допустимых Значений. Ограничение для Х
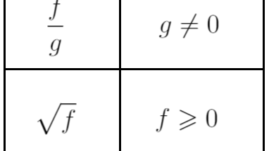
Приветствую Вас! Область Допустимых Значений, или по простому ОДЗ. Школьники ненавидят его и боятся. А почему? - Потому что не понимают. Хотя, данная тема затрагивается в учебниках 7-го класса, в самом начале изучения алгебры, но, в своем большинстве, школьные препода не торопятся ее объяснить за ненадобностью. Затем, наступает 10 класс, и, бах, ребенок в шоке: практически во всех выражениях требуется отыскивать это гребаное ОДЗ. А что это такое, для чего оно, почему без него нельзя, когда его писать, а когда не писать? Вот тут начинаются вопросы...