процесс выведения прыщей и их удаления с лица #угри #косметолог #лица #мужчина
Информация – главный вывод о её природе. И чем является сигнал?
Существуют разные подходы относительно определения информации. Мы их уже отмечали. Далее к информации будем относиться как одному из аспектов реальности, который выражается субъективно, в связях и отношениях, взаимодействиях в системе. Какие выводы ещё можно сделать? Посредством информации происходит управление мирозданием, а элементы информационной системы, теоретически (потенциально или фактически) способны познавать мир. А с этими процессами тесно соприкасается область в науке - методология. В режиме методологии производятся информационные процессы, определяющие познание...
Что является фундаментом при передаче и приеме информации
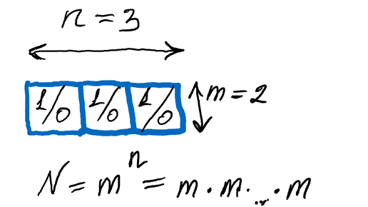
Данная публикация является второй по счету и логически продолжает первую, посвященную азам передачи информации. Автор доступным языком открывает читателю главный секрет информационных систем, их фундамент (основу). Если в первой работе на этот секрет лишь намеки, то здесь намек раскрывается, вероятно, полноценным цветком... Понимание данной основы откроет перспективы адекватного прочтения серьезных (научных) публикаций, откроет, так сказать, дорогу в научный мир! Часть 1 Помехи отсутствуют Бросаем кости, получаем информацию Всем, думается, знаком шестигранный кубик с цифрами от 1 до 6...