2 месяца назад
Что делать если дискриминант отрицательный
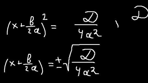
Если дискриминант (D) квадратного уравнения отрицательный, это означает, что уравнение не имеет действительных корней. Но это не конец решения! Вот что это значит и что делать дальше: Что означает отрицательный дискриминант: Отсутствие пересечений с осью x: График квадратного уравнения (парабола) не пересекает ось x. Корни являются комплексными числами: Корни уравнения существуют, но они не являются действительными числами, а являются комплексными числами. Как это выглядит: Квадратное уравнение:...
1 неделю назад
Что делать если дискриминант отрицательный в квадратном неравенстве
Если дискриминант (D) в квадратном неравенстве отрицательный (D < 0), это означает, что **соответствующее квадратное уравнение не имеет действительных корней**. Это существенно влияет на решение неравенства, в отличие от случая, когда D >= 0. Рассмотрим общий вид квадратного неравенства: Ax^2 + bx + c > 0 (или < 0, >= 0, <= 0) Где a, b, и c — коэффициенты, а x — переменная. Дискриминант вычисляется по формуле: D = b^2 — 4ac Если D < 0, то возможны два варианта: 1. a > 0 (ветви параболы направлены...