2.1 Асимптотический анализ
Асимптотический анализ: основы и применение
Асимптотический анализ — это математический инструмент, который используется для оценки сложности алгоритмов в информатике. Он позволяет описать, как время выполнения или использование памяти алгоритмом изменяются в зависимости от размера входных данных. Такой подход помогает разработчикам выбирать наиболее эффективные алгоритмы для решения задач, основываясь на их производительности при масштабировании. При разработке программ часто возникает вопрос: как быстро алгоритм выполнит задачу на больших...
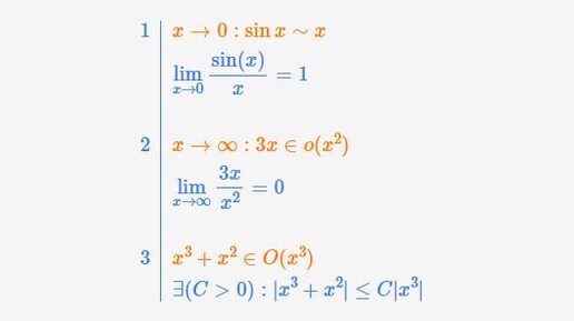
Что такое асимптотическое сравнение функций?
Асимптотическое сравнение функций — это метод, используемый для анализа поведения функций при стремлении переменной к бесконечности. В контексте алгоритмов это позволяет оценить, как время выполнения или объем памяти, необходимый алгоритму, изменяется в зависимости от размера входных данных. Для оценки сложности...