Как Живет А4 Влад Бумага, Сколько Он Зарабатывает И Где Живет А4 Влад Бумага
Почему А4 - это 210х297? Продолжение
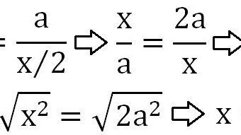
Всем привет! В предыдущей статье я спрашивал Вас: почему у формата А4 такие странные размеры: 210х297 мм? Да и у остальных его старших братьев: А3-А0? В этом материале я расскажу Вам, почему именно такие числа взяты размерами сторон для листов офисной бумаги. Ещё чуть больше ста лет назад, в начале XX века, не существовало единого стандарта для размеров листов бумаги. Каждая фабрика выпускала бумагу со своими размерами, что было очень неудобно для типографий и книгоиздательств. Со временем некоторые...
Влад Бумага А4: сколько лет, где живет, фото, заработок блоггера, биография
Один из самых популярных видеоблогеров среди русскоязычного сегмента на YouTube, Влад Бумага, завоевал свою популярность благодаря роликам для детей и подростков. Изначально это было лишь увлечение, но с течением времени стало стилем жизни. Его первые видео, изначально не привлекали внимания зрителей, но сегодня он успешно развивается как певец, бизнесмен и актер, часто занимая лидирующие позиции в различных рейтингах успешных молодых людей. Дети и подростки обожают Влада за его яркую харизму, доброту, а также за умение создавать по-настоящему интересные и увлекательные челленджи...