Маша Капуки и игрушки на пляже. Видео на море для детей.
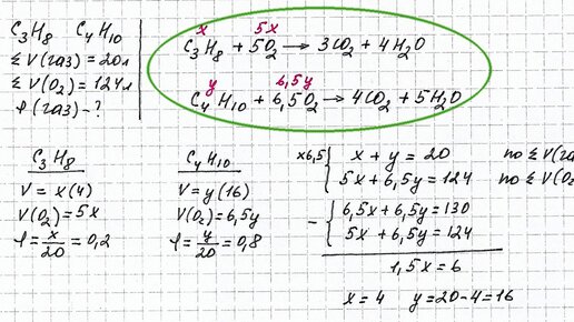
Секретная шпаргалка по химии. 4.4. Смеси газов и уравнения с двумя неизвестными
Сегодня буду хулиганить, как хочу 😜 (в пределах разумного, конечно 😊). С чего бы это? Объясняю: первая причина - мои ученики, вторая причина - их школьные учителя. Теперь, более подробно. Ученики 😘 должны иметь интерес к изучаемому предмету. Я не о химии вообще. Это яркая, замечательная наука, если рассматривать ее экспериментальную часть. Я о задачах по химии. Многие ребята не решают задачи, поскольку считают их сложными, скучными, непонятными. Перед родителями встает вопрос: "Как любимую зайку, лапушку, солнышко заставить готовиться к ЕГЭ по химии?!" А никак...
Составить уравнение реакции горения
Чтобы составить уравнение реакции горения, нужно знать, какое вещество горит. Горение – это процесс окисления вещества, обычно с выделением тепла и света. Наиболее часто горят органические вещества, содержащие углерод (C) и водород (H), а также часто кислород (O) и другие элементы. При горении органических веществ в кислороде обычно образуются углекислый газ (CO₂) и вода (H₂O). Алгоритм составления уравнения реакции горения: Примеры: 1. Горение метана (CH₄): 2. Горение этана (C₂H₆): 3. Горение глюкозы (C₆H₁₂O₆): 4. Горение...