3. Равнопеременное прямолинейное движение: равноускоренное и равнозамедленное. Формулы, графики. Подготовка к ЕГЭ | Физика | Задачи
Формула без времени
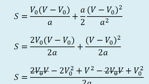
Есть ряд задач, в которых есть скорости в начале V, м/с и в конце Vo, м/с процесса, ускорения a, м/с ², пройденное расстояние S, м, а вот времени нет (секундомер забыли :) )! В этом случае потребуется так называемая "Формула без времени". Эту формулу проще выучить, чем каждый раз выводить из "базовых" формул и поэтому её мы можем найти в наших шпаргалках (статья канала "Шпаргалки по Физике"). Но физический смысл этой формулы не очень понятен, да и выглядит она как-то сложновато. Попробуем понять откуда она взялась, может быть и не такой страшной будет...
Кинематика: вывод всех формул и решение задач.
Аннотация В статье выводятся все формулы кинематики прямолинейного движения (18 формул) для равномерного, равнопеременного с начальной скоростью и равнопеременного движения без начальной скорости. Каждая формула выведена двумя способами: алгебраическим и логическим. Для наглядности в статье есть раздел графиков путей и скоростей для разных видов движения. Для отработки навыка решения задач в статье есть раздел "Задача для отработки".» Вступление Данная статья представляет из себя глубокое объяснение школьной кинематики...