Урок. Заполните пропуски в таблице. Запись буквами. Математика 2 класс
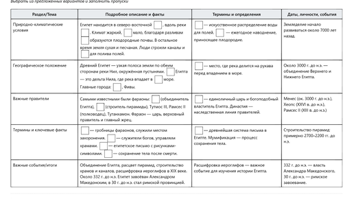
Таблицы с пропусками
Таблицы с пропусками — признанный методический приём в преподавании истории. Их использование способствует осмысленному усвоению материала, развитии аналитических и обобщающих навыков, а также помогает структурировать и закреплять знания. Такой подход активно исследовался в педагогике, его преимущества описаны рядом авторов-методистов. В таблицах заранее проставлены даты, личности, факты, события, термины — но с пустыми местами. Школьник должен сам найти и вписать недостающую информацию, при этом опираясь на текст, учебник или выданные варианты...
Ваш старый партийный билет — это ключ к прибавке к пенсии? Как подтвердить утерянный заработок и заставить СФР считать по-честному
Миллионы россиян сегодня теряют десятки тысяч рублей к пенсии только потому, что не могут подтвердить свой реальный заработок в 90-е или 80-е годы. Документы утеряны, предприятие закрыто, архивы сгорели...