193 читали · 7 лет назад
Интересная 13 задача из профильного ЕГЭ по математике. Разбираем
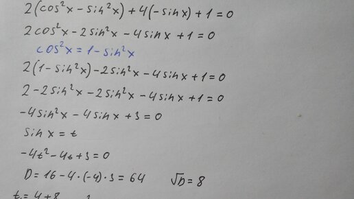
Всем привет, сегодня мы с вами разберём еще один 13 номер из профиля, где вам потребуется применить несколько нестандартных формул. Лично я придерживаюсь правила: любое 13 задание нужно решать применяя не более 5 тригонометрических формул. Если вы при решении использовали больше и при этом ответ не нашли - это повод задуматься. Скорее всего вы делаете что-то не так. В нашем сегодняшнем уравнении нам потребуются 3 формулы. Итак, вот как оно выглядит: Некоторые умудряются допустить ошибку уже на этом этапе...