Решение задач ВУЗа по общей и неорганической химии.
Самые нежные задачи по химии ЕГЭ 2019. 35-е задание (массовые доли элементов)
Вы хотите подготовиться к ЕГЭ по химии фундаментально, профессионально, результативно, получая удовольствие от каждой стадии образовательного процесса? Тогда вам сюда! Читайте с радостью - учитесь с удовольствием! "Они сошлись. Волна и камень,
Стихи и проза, лед и пламень
Не столь различны меж собой.
Сперва взаимной разнотой
Они друг другу были скучны;
Потом понравились; потом
Съезжались каждый день верхом,
И скоро стали неразлучны.
Так люди (первый каюсь я)
От делать нечего друзья" А.С. Пушкин,...
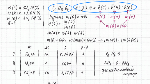
Секретная шпаргалка по химии. 5.1. Вывод формулы вещества по общей формуле класса
Уже который день моя статья "Тайны задач по химии? 1. Препарируем задачу ЕГЭ" вызывает нервные тики у вполне спокойных и уверенных в себе учителей. Не так они представляют себе решение задач. Им нужно, чтобы все было запутано и мало понятно, а на вопрос ученика: "Как решить задачу?" учитель, сделав умные глаза, отвечал бы: "Думай". А чем думать? Как думать? Куда думать? В какую сторону? Сие есть тайна великая! Однако, все тайное становится явным на вскрытии задач ЕГЭ. Вот и моя статья показала, какие приколы (фишки) для ЕГЭ по химии могут приготовить нашим детям сотрудники ФИПИ...