Решение задач ВУЗа по общей и неорганической химии.
Разбор задачи по химии с заочного этапа олимпиады "Ломоносов" 2016 года
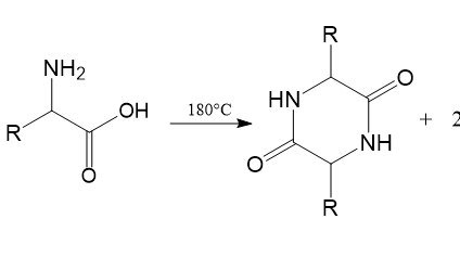
Приветствую пытливый ум юного химика! Сегодня у Нас на разборе задача, которую предлагали в 2016 году на заочном этапе олимпиады "Ломоносов". Сначала постарайтесь решить эту задачу самостоятельно, а уже потом приступайте к чтению разбора...